pynkocean.com
HOME
About
Contact
Disclaimer
Privacy
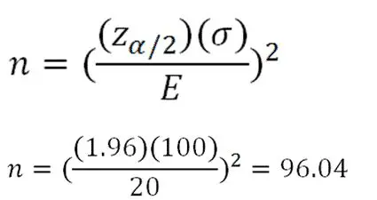
Calculating the Population Mean
Oct 13, 2025
by pynkocean.com
48
views