pynkocean.com
HOME
About
Contact
Disclaimer
Privacy
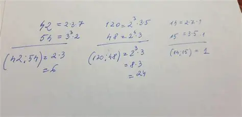
Calculul Perechilor de Numere
Oct 13, 2025
by pynkocean.com
37
views