pynkocean.com
HOME
About
Contact
Disclaimer
Privacy
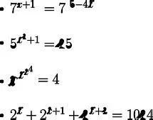
Ejemplos de ecuaciones exponenciales
Oct 13, 2025
by pynkocean.com
145
views