pynkocean.com
HOME
About
Contact
Disclaimer
Privacy
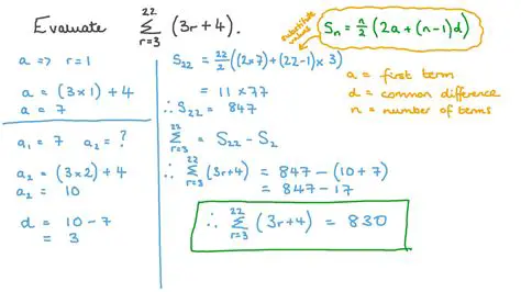
Evaluating Arithmetic Series
Oct 13, 2025
by pynkocean.com
137
views