pynkocean.com
HOME
About
Contact
Disclaimer
Privacy
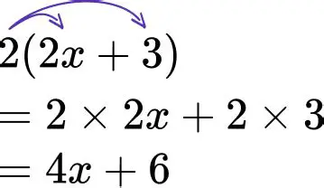
Failing to simplify the equation
Oct 13, 2025
by pynkocean.com
142
views