pynkocean.com
HOME
About
Contact
Disclaimer
Privacy
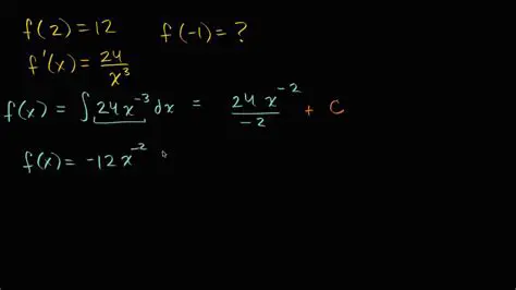
Finding a Specific Solution
Oct 13, 2025
by pynkocean.com
16
views