pynkocean.com
HOME
About
Contact
Disclaimer
Privacy
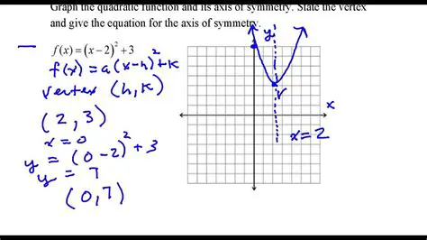
Finding the Axis of Symmetry for a Quadratic Function
Oct 13, 2025
by pynkocean.com
31
views