pynkocean.com
HOME
About
Contact
Disclaimer
Privacy
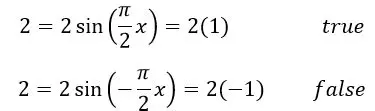
General Formula for the Period of a Sine Function
Oct 13, 2025
by pynkocean.com
87
views