pynkocean.com
HOME
About
Contact
Disclaimer
Privacy
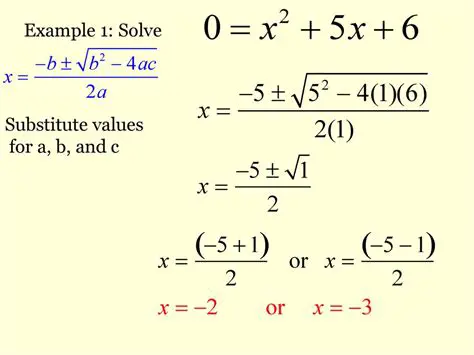
Substituting Values into the Height Equation
Oct 13, 2025
by pynkocean.com
132
views