pynkocean.com
HOME
About
Contact
Disclaimer
Privacy
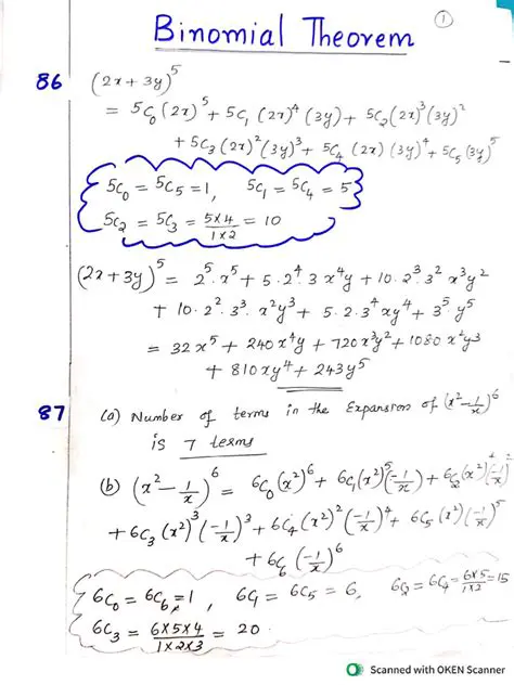
The Binomial Theorem and Its Applications
Oct 13, 2025
by pynkocean.com
113
views