pynkocean.com
HOME
About
Contact
Disclaimer
Privacy
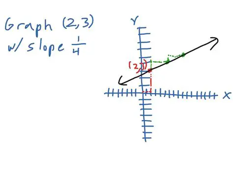
Using the Given Point and Slope
Oct 13, 2025
by pynkocean.com
98
views